Ответы
Ответ дал:
1
1)
2)
3)
Sanja2071:
Сейчас напишу 3, забыл вставить(
Ответ дал:
0
Ответ:
Пошаговое объяснение:
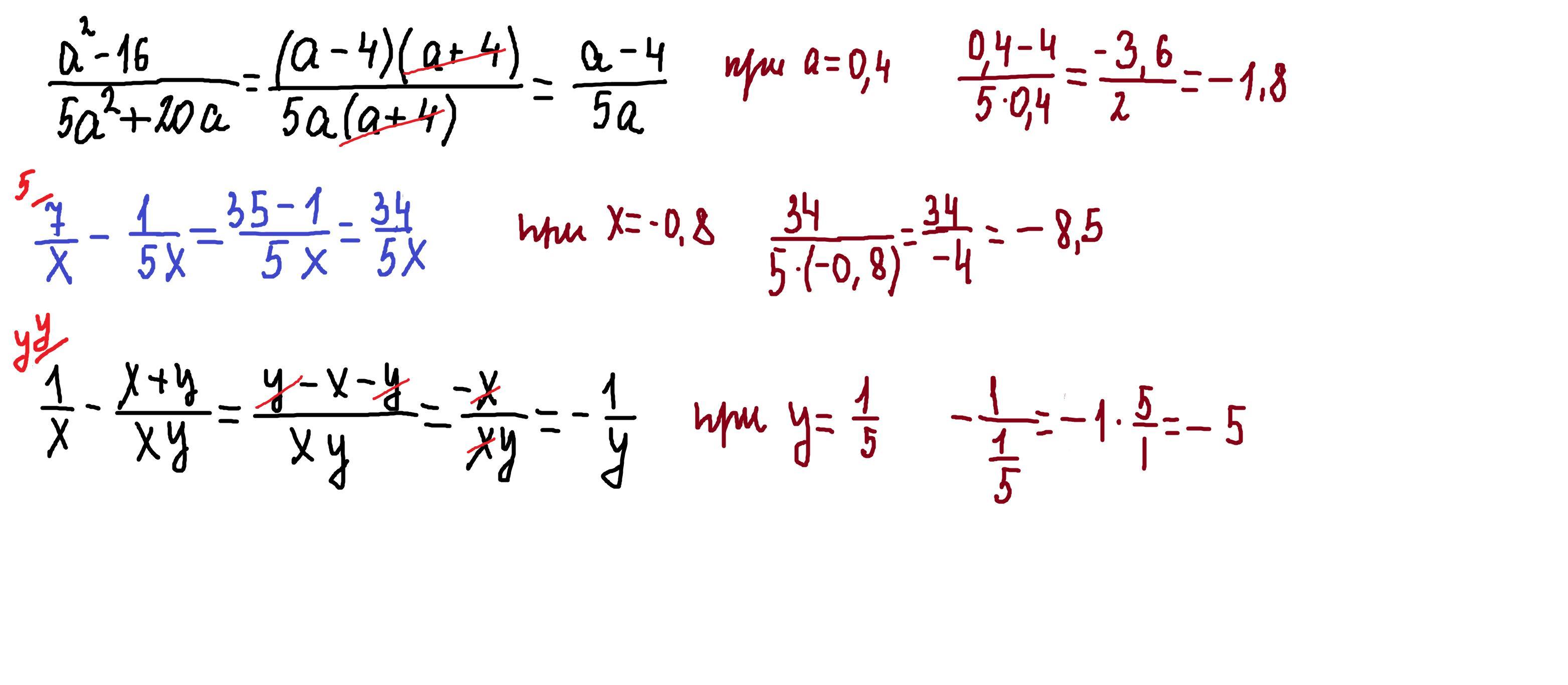
решение примеров внизу
Приложения:

Вас заинтересует
2 года назад
3 года назад
8 лет назад
8 лет назад