Ответы
Ответ дал:
1
Ответ:
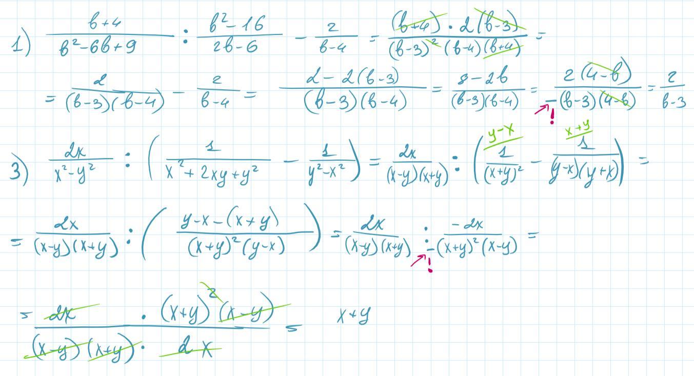
смотри фото
Объяснение:
там де стоять окличнi знаки - то я поменяла мiсцями та винесла минус за дужку
Приложения:

Ответ дал:
1
Ответ:
..................................
Приложения:

Вас заинтересует
2 года назад
3 года назад
8 лет назад
9 лет назад