Ответы
Ответ дал:
0
Ответ:
13 23/24
Объяснение:
Ответ дал:
0
Ответ:
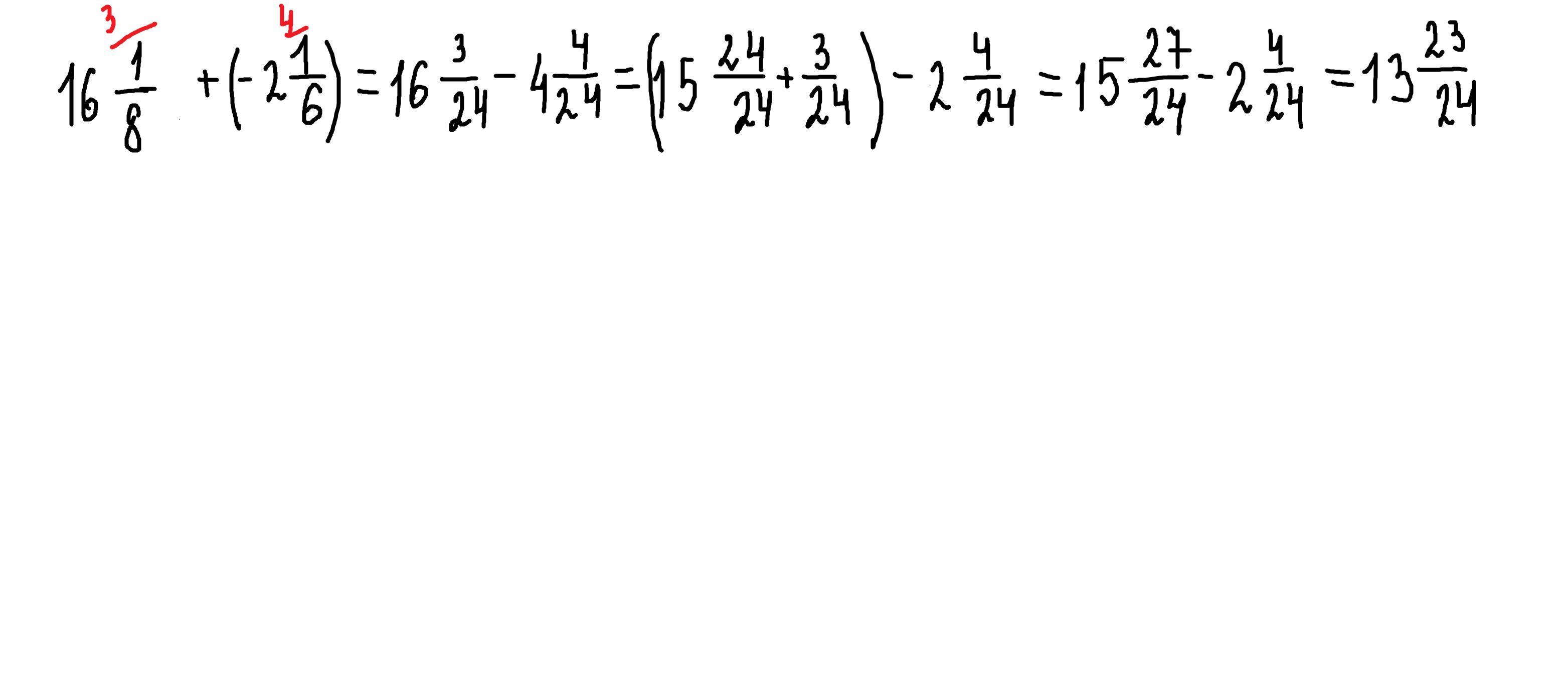
13 23\24
Объяснение:
решение внизу
Приложения:

Вас заинтересует
2 года назад
2 года назад
3 года назад
3 года назад
8 лет назад
8 лет назад