Ответы
Ответ дал:
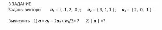
1
Ответ:а={-6 1/3;0;-1 2/3}
|а|=
Объяснение:
На фото
Приложения:


Вас заинтересует
2 года назад
3 года назад
3 года назад
8 лет назад
8 лет назад