• Предмет: Математика
  • Автор: misissis5567
  • Вопрос задан 8 лет назад

3⁵×5⁴/15³ хелппппппп​

Ответы

Ответ дал: omonova23712
0

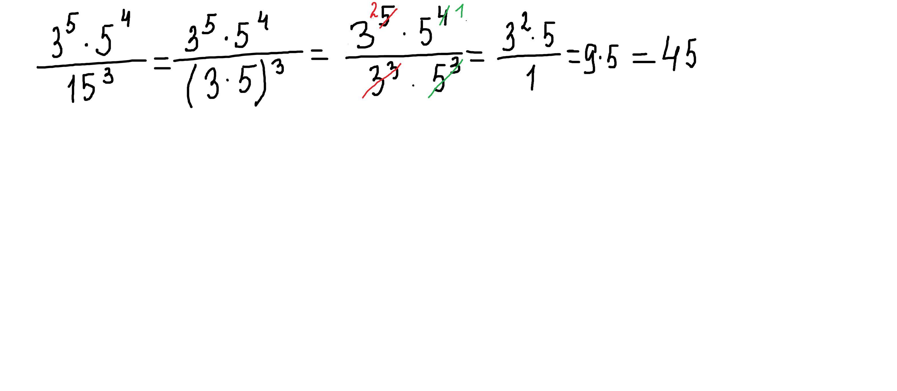
Пошаговое объяснение:

3⁵=243

5⁴=625

15³=3375

243×625=151875

151875:3375=45

Приложения:
Ответ дал: parus77
0

Ответ:

3⁵×5⁴/15³=45

Пошаговое объяснение:

решение внизу

Приложения:
Вас заинтересует