• Предмет: Математика
  • Автор: WOOLFGOLD
  • Вопрос задан 7 лет назад

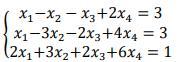
Составим расширенную матрицу системы и проведем над ней элементарные
преобразования.

Приложения:

Ответы

Ответ дал: nikitadanko2002
1

Пошаговое объяснение:

привели к ступенчатому виду

Приложения:

WOOLFGOLD: система совместима?
nikitadanko2002: ранг матрицы равен рангу расширенной, значит есть единственное решение
WOOLFGOLD: Понял. Спасибо. Лучший
nikitadanko2002: если не понятно еще будет что то, то спрашивай. поставь еще лайк и 5 звезд, пожалуйста
WOOLFGOLD: А на что вы домножали в третий ряд?
WOOLFGOLD: Что бы получилось 0 5 4 2 |-2
nikitadanko2002: на -2
nikitadanko2002: я умножил 2 строку на -2 и сложил со 2 , чтобы получитьс 0 в начале
Вас заинтересует