• Предмет: Математика
  • Автор: lasenite29
  • Вопрос задан 7 лет назад

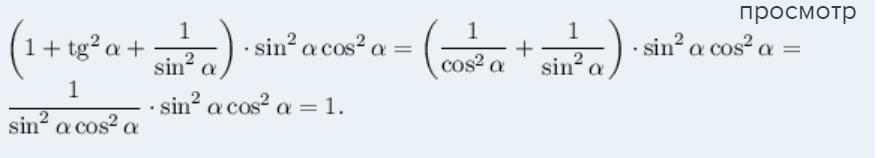
доказать личность. Не понимаю тему «Тригонометрические выражения и уравнения»

Приложения:

Ответы

Ответ дал: Аноним
1

Ответ:

photo (answer)

Пошаговое объяснение:

Приложения:
Вас заинтересует