Стороны треугольника равны 5 и 12. Сумма обратных величин этих сторон равна обратной величине биссектрисы, проведённой к третьей стороне. Найдите угол, противолежащий этой стороне. Ответ запишите в градусах.
IUV:
пиши 120 градусов
Ответы
Ответ дал:
2
Ответ:
120 градусов
Пошаговое объяснение:
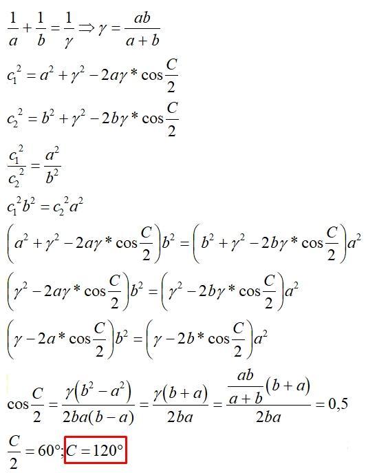
пусть а - одна сторона
b - вторая сторона
γ - биссектриса
с₁ и с₂ - части, отсекаемые биссектрисой от противоположной стороны
С - искомый угол
далее по теореме косинусов выражаем с₁ и с₂
потом по теореме о биссектрисе находим отношение с₁ к с₂
получаем уравнение относительно косинуса угла С/2
которое благополучно сокращается
Приложения:

мелкий пакостник )))
Вас заинтересует
2 года назад
2 года назад
3 года назад
3 года назад
8 лет назад
8 лет назад
9 лет назад
9 лет назад