• Предмет: Алгебра
  • Автор: zzqqweert
  • Вопрос задан 7 лет назад


ПОЖАЛУЙСТА СРОЧНО!!!!

Приложения:

Ответы

Ответ дал: olgaua64
0

Відповідь:

Пояснення:

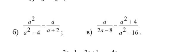
а²-4=(а-2)(а+2)

(а²-а(а-2))/(а²-4)=2а/(а²-4)

а²-16=(а+4)(а-4)

2а-8=2(а-4)

(а(а+4)-2(а²+4))/(2(а²-16))=(а²+4а-2а²-8)/(2(а²-16))=(-а²+4а-8)/(2(а²-16))

Вас заинтересует