• Предмет: Математика
  • Автор: korshundenchik
  • Вопрос задан 8 лет назад

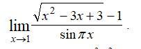
Решите предел не пользуясь правилом Лопиталя

Приложения:

Ответы

Ответ дал: Аноним
1

\displaystyle \lim_{x \to 1}\dfrac{\sqrt{x^2-3x+3}-1}{\sin\pi x}=\lim_{x \to 1}\dfrac{\Big(\sqrt{x^2-3x+3}-1\Big)\Big(\sqrt{x^2-3x+3}+1\Big)\pi x}{\pi x\sin\pi x\Big(\sqrt{x^2-3x+3}+1\Big)}=\\ \\ \lim_{x \to 1}\dfrac{x^2-3x+3-1}{\pi \cdot \Big(\sqrt{1^2-3\cdot 1+3}+1\Big)}=\dfrac{1^2-3\cdot 1+2}{2\pi}=0


Аноним: чтобы применить первый замечательный предел
Аноним: предел pix/sin(pix) = 1
korshundenchik: А понял
korshundenchik: Спасибо
korshundenchik: А вы умеете решать задания кривые и поверхности?)
Аноним: теорию открыть в интернете не проблема.
Аноним: возможно вспомню
korshundenchik: Вы бы не могли мне с этими заданиями помочь? Там 3 задания
Аноним: Честно построение в полярных координат я забыл :)
korshundenchik: а там еще есть 2 задачи) не могли бы вы их посмотреть?)
Вас заинтересует