• Предмет: Алгебра
  • Автор: alekbardos6473
  • Вопрос задан 7 лет назад

очень срочно!! заранее спасибо!

Приложения:

Ответы

Ответ дал: larisaserova53
1

Ответ:

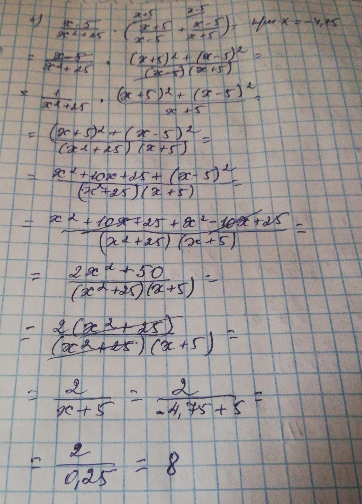
Смотри решение на фото..

Приложения:
Вас заинтересует