• Предмет: Математика
  • Автор: etfigry
  • Вопрос задан 8 лет назад

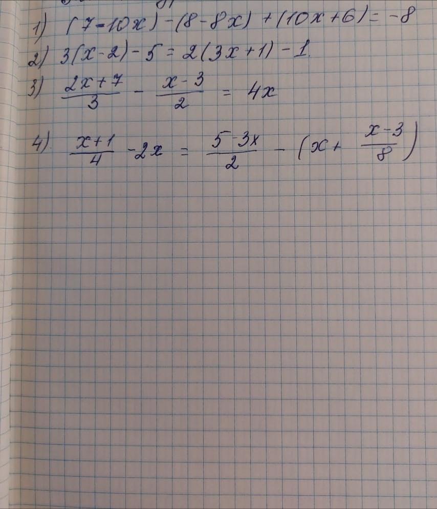
Решите последнее уравнение под цифрой 4

срочно

Приложения:

Ответы

Ответ дал: tuktuk1254
0

Ответ: 2,5

Пошаговое объяснение:

Ответ дал: dobra888
1

Ответ:     x = 3 .

Пошаговое объяснение:

4) ( x + 1 )/4 - 2x = ( 5 - 3x )/2 - ( x + ( x - 3 )/8) ;

( x + 1 - 8x )/4 = ( 5 - 3x )/2 - ( 8x + x -3 )/8 ;

( 1 - 7x )/4 = ( 5 - 3x )/2 - ( 9x - 3 )/8 ;│X 8

2( 1 - 7x ) = 4( 5 -3x ) - ( 9x - 3 ) ;

2 - 14x = 20 - 12x - 9x + 3 ;

- 14x + 12x + 9x = 20 + 3 - 2 ;

 7x = 21 ;

   x = 21 : 7 ;

   x = 3 .


etfigry: А откудо взялось 8x
Вас заинтересует