Помогите срочно, даю 30 баллов!!!
Приложения:

Zombynella:
По правилам сайта нельзя выкладывать в одном задании больше 3 вопросов (примеров). Потом модераторы удаляют и ваши задания, и наши решения, баллы снимают. Делите на части.
Ответы
Ответ дал:
0
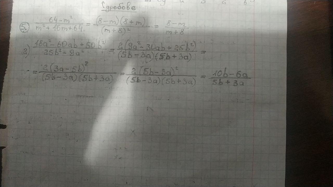
Відповідь:
Всё решение на фото
Пояснення:
Если есть вопросы - спрашивайте
Приложения:



Вас заинтересует
2 года назад
3 года назад
3 года назад
8 лет назад
8 лет назад
9 лет назад
9 лет назад