• Предмет: Алгебра
  • Автор: zzqqweert
  • Вопрос задан 8 лет назад

НАПИШИТЕ ПОЖАЛУЙСТА НА ЛИСТОЧКЕ!!

Приложения:

Ответы

Ответ дал: 4585o7k5099
0

Ответ:

Объяснение:

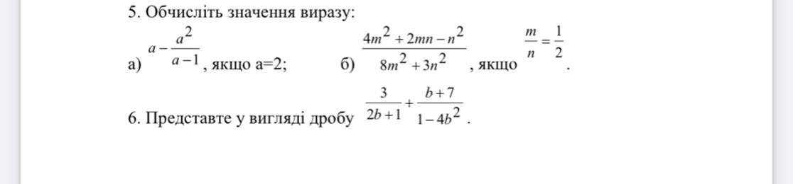
a-\frac{a^2}{a-1}=\frac{a^2-a-a^2}{a-1}  =-\frac{a}{a-1} =-\frac{2}{1} =-2

1)под общий знаменатель

2) подставим a=2

\frac{4m^2+2mn-n^2}{8m^2+3n^2}

попробуем сделать наоборот\frac{m}{n}=\frac{1}{2}\\n=2m

подставим при 2m=n

\frac{4m^2+2mn-n^2}{8m^2+3n^2} =\frac{(2m)^2+n^2-n^2}{2*(2m)^2+3n^2} =\frac{n^2}{2n^2+3n^2}=\frac{n^2}{5n^2}=\frac{1}{5}=0,2

так теперь в последнем надо сделать под общий знаменатель

\frac{3}{2b+1}+\frac{b+7}{1-4b^2}  =\frac{3}{2b+1}+\frac{b+7}{1-(2b)^2} =\frac{3}{2b+1}+\frac{b+7}{(1+2b)(1-2b)} =\frac{3(1-2b)+b+7}{(1+2b)(1-2b)}=\frac{10-5b}{(1+2b)(1-2b)} =\frac{5(2-b)}{(1+2b)(1-2b)}

или

\frac{5(2-b)}{1-4b^2}

1)правила сокращенного умножения!!! a^2-b^2=(a-b)(a+b)

2) умение загнать под общий знаменатель)

Вас заинтересует