Ответы
Ответ дал:
1
Объяснение:
9/15(х-2)-20/15(х-2)= -11/15(х-2)= -11/5(х-2)
parus77:
20-9 = -21??????????
Ответ дал:
1
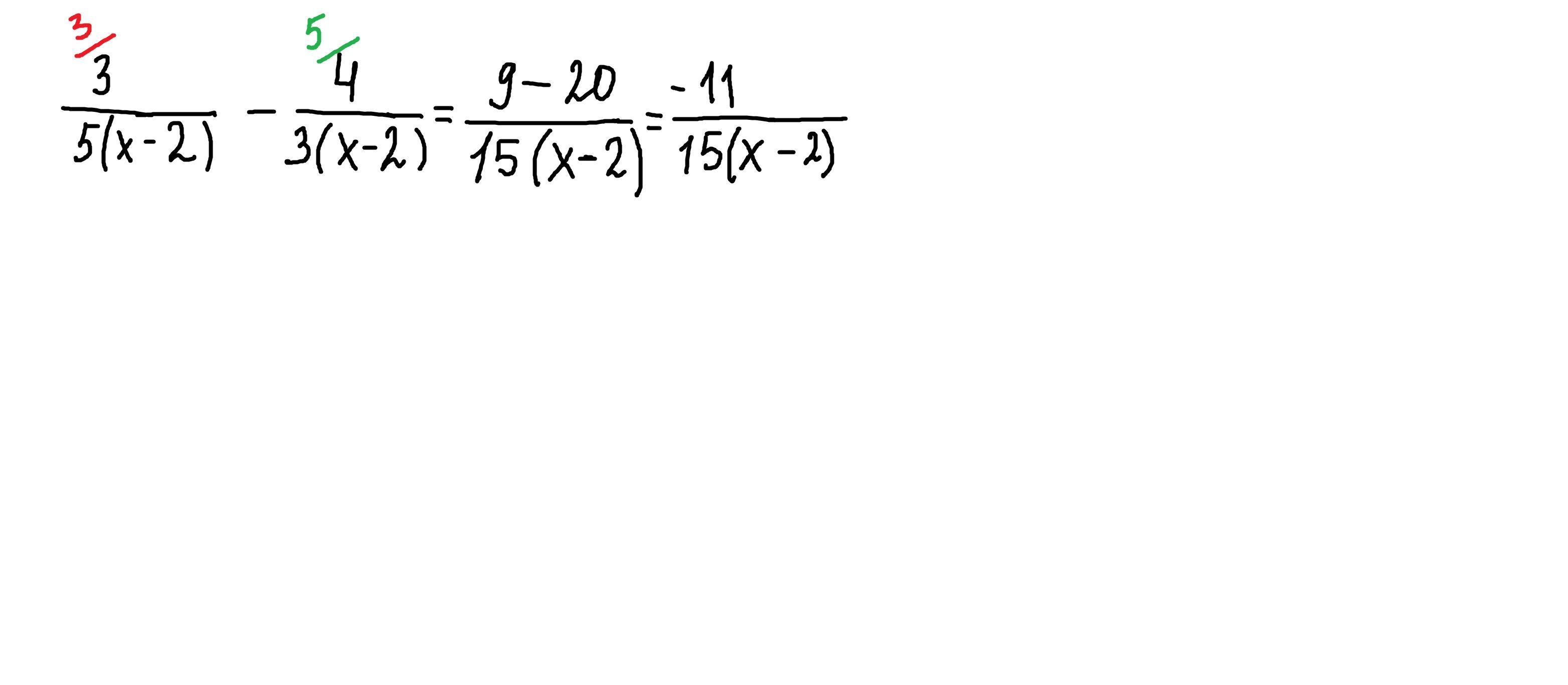
Ответ:
-11\ 15(х-2)
Объяснение:
решение внизу
Приложения:

Вас заинтересует
2 года назад
2 года назад
3 года назад
8 лет назад
8 лет назад
9 лет назад
9 лет назад