• Предмет: Алгебра
  • Автор: kenma26
  • Вопрос задан 7 лет назад

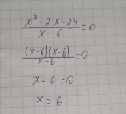
Реши уравнение и запиши ответ ​

Приложения:

Ответы

Ответ дал: moldabayall88
0

Ответ:

Х=6

Объяснение:

Думаю правильный.

Надеюсь помогла

Приложения:
Ответ дал: aaxaxxaxaxa
0
x-6 надеюсь помогла )))))
Вас заинтересует