• Предмет: Алгебра
  • Автор: 1sasha2acsenof3
  • Вопрос задан 11 лет назад

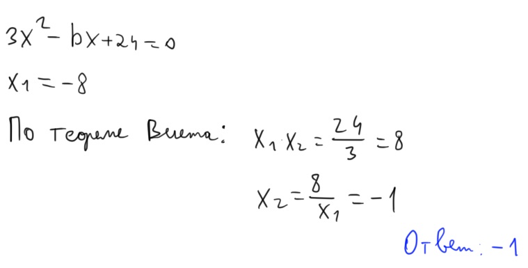
Один из корней уравнения 3х^2-bx+24=0 равен -8. Найдите второй корень. Пожалуйста по быстрее . И можно по быстрее , и потробно , идеальней на скрине.

Ответы

Ответ дал: nikolac
0
Решение на картинке.
Приложения:
Вас заинтересует