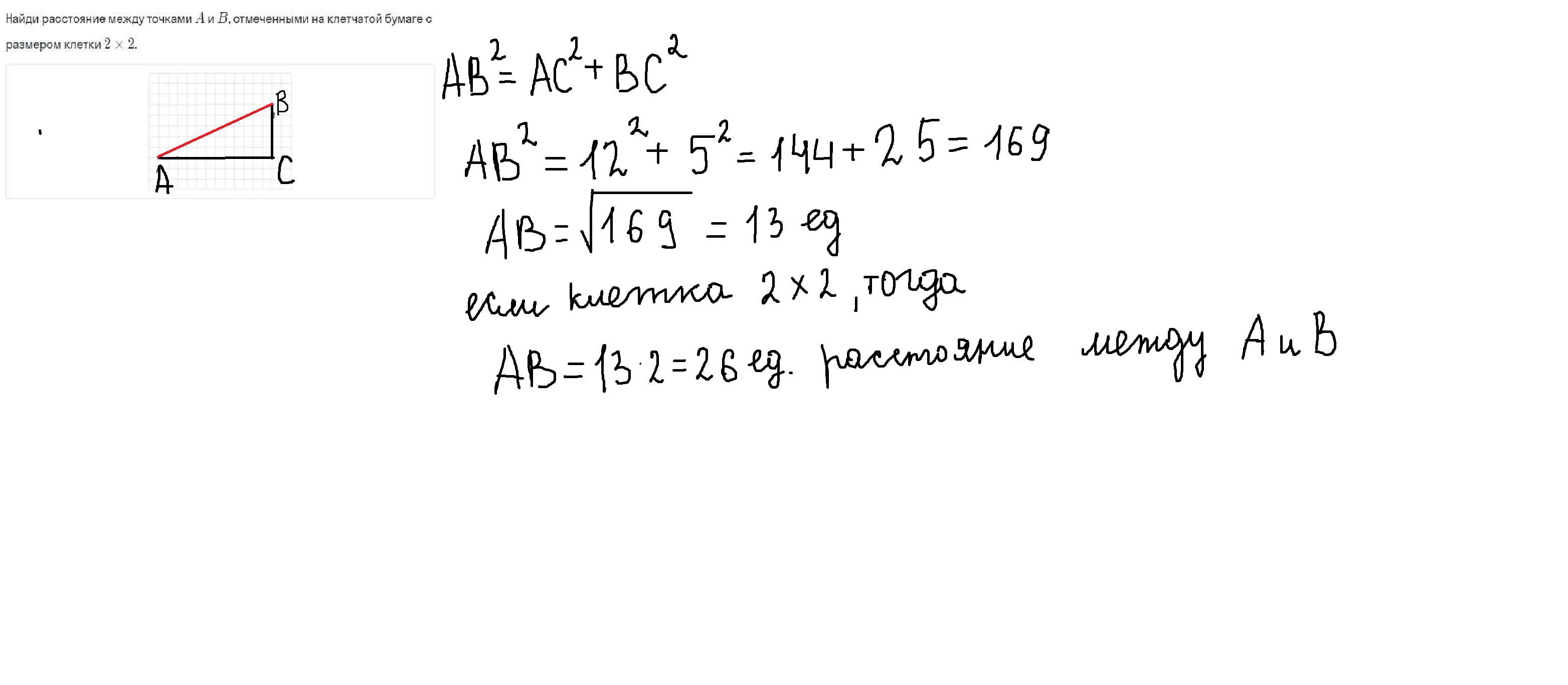
ПОМОГИТЕ ПЛИЗ!!!! Найди расстояние между точками а и б, отмеченными на клетчатой бумаге с размером клетки 2 х 2
Приложения:

Ответы
Ответ дал:
1
Ответ: 26
Объяснение:
1) соединяем A и B
2) строим прямоугольный треугольник ABC, где AB - гипотенуза
3) находим стороны AC и BC
AC = 12*2 = 24
AB = 5 * 2 = 10
(*2) - т.к. 1 клетка = 2×2
4) Находим AB по теореме Пифагора:
AB² = 24² + 10²
AB² = 576 + 100
AB² = 676
AB = 26
Ответ: 26
Ответ дал:
1
Ответ:
расстояние между т.А и т.В равно 26
Объяснение:
могу только по т. Пифагора
Приложения:

Вас заинтересует
2 года назад
2 года назад
3 года назад
3 года назад
8 лет назад
9 лет назад