• Предмет: Математика
  • Автор: alisherbiyzakov123
  • Вопрос задан 8 лет назад

помогите с математикой ​

Приложения:

Ответы

Ответ дал: SparTans00
2

Ответ:

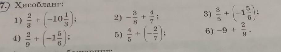
1) 2/3+(-31/3)=-29/3

2) - 3/8+4/7 =-24/56+32/56=8/56=1/7

3)3/5+(-11/6)=18/30-55/30=-37/30

4) 2/9+(-11/6)=4/18-33/18=-29/18

5) 4/5+(-2/7)=28/35-10/35=18/35

6)-9+2/9= -8 9/9+2/9=-8 7/9


alisherbiyzakov123: спасибо но мы работаем по дробней форме
alisherbiyzakov123: поетому можно по дробней форме
SparTans00: Добрый вечер, так это и есть дробная форма. Например 29/3 означает, что 29 находится в числителе, а 3 в знаменателе.
alisherbiyzakov123: спасибо болшое
SparTans00: рад помочь.
Ответ дал: arnurd
0

Ответ:1) 2/3+(-31/3)=-29/3

2) - 3/8+4/7 =-24/56+32/56=8/56=1/7

3)3/5+(-11/6)=18/30-55/30=-37/30

4) 2/9+(-11/6)=4/18-33/18=-29/18

5) 4/5+(-2/7)=28/35-10/35=18/35

6)-9+2/9= -8 9/9+2/9=-8 7/9

Пошаговое объяснение:

Вас заинтересует