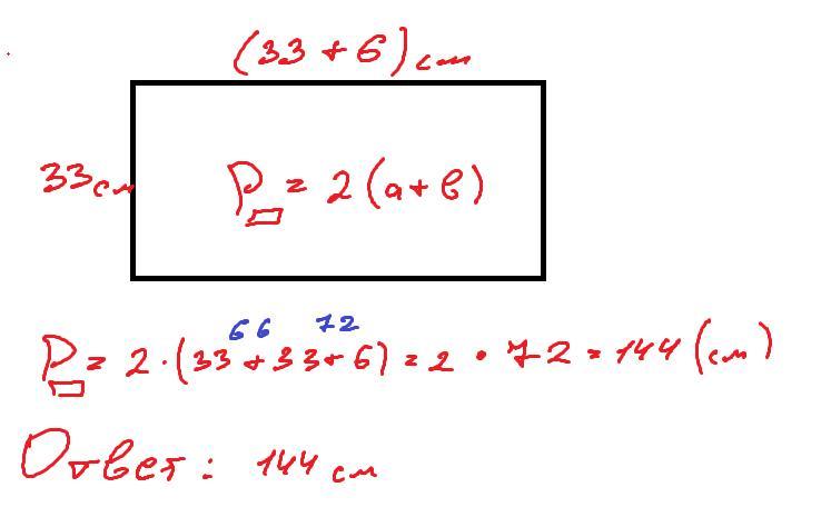
Одна сторона прямоугольника равна 33 см, а вторая — на 6 см больше. Вычисли периметр прямоугольника
Ответы
Ответ дал:
0
Пошаговое объяснение:
решение:
1. 33+6=39 см - другая сторона прямоугольника
2. 33+33+39+39= 144 см - периметр
Ответ дал:
0
Ответ:
Фото
Пошаговое объяснение:
Приложения:

Вас заинтересует
2 года назад
3 года назад
3 года назад
8 лет назад
8 лет назад
9 лет назад