• Предмет: Физика
  • Автор: deadoutsideass
  • Вопрос задан 8 лет назад

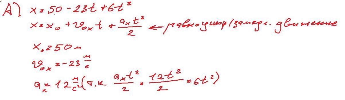
А) Используя уравнение движения х=50– 23t+ 6t2, определите: начальную координату, начальную скорость и ускорение тела.
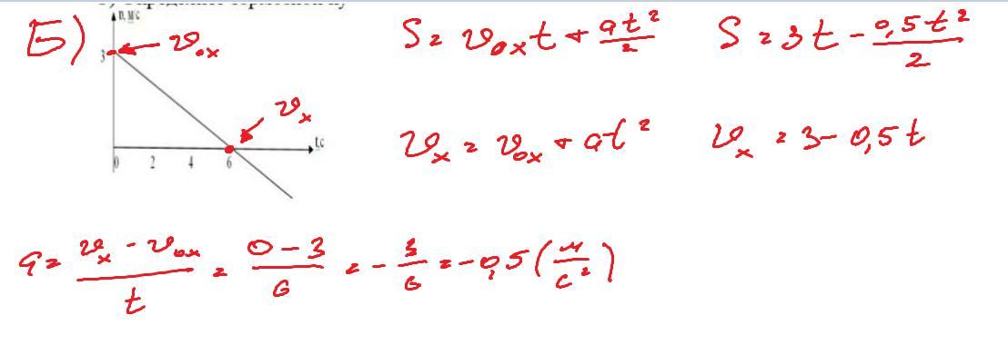
В) Используя данные графика записать уравнение зависимости скорости от времени и уравнение зависимости перемещения от времени:
С) Определите тормозной путь автомобиля, если скорость уменьшилась с 36,5 км/ч до 19,3 км/ч за 6 с.

Пожалуйста, помогите

Приложения:

Ответы

Ответ дал: skala
1

Ответ:

Вроде так

Объяснение:

Приложения:

deadoutsideass: Большое спасибо!
Вас заинтересует