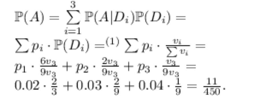
Рабочий обслуживает 3 станка, на которых обрабатываются однотипные детали. Вероятность брака для первого станка равна 0,03, для второго – 0,06, для третьего – 0,04. Обработанные детали складываются в один ящик. Производительность первого станка в три раза больше, чем второго, а третьего в два раза меньше, чем второго. Вероятность того, что взятая наудачу деталь будет бракованной равна:
Ответы
Ответ дал:
0
форма которая я думаю правильная 1 картинка
так теперь обьясню
Введём следующие обозначения:
di- событие "вытащена деталь под номером i".
A- событие "вытащенная деталь бракована".
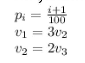
pi - соответствующие вероятности брака.
vi - производительности станков.
сразу заметим что
картинка 2 тоже все расписано
3 картинка чтоб ее заметить надо листать
Пусть прошла единица времени. Тогда всего в ящике находится 4 картинка деталей
и последнее вероятности событий 5 картинка вычисляются как отношения количества подходящих деталей ко всем деталям
Приложения:





polliamigrina:
надеюсь на лайк♡
Вас заинтересует
2 года назад
3 года назад
8 лет назад
8 лет назад
9 лет назад