Ответы
Ответ дал:
1
Ответ:
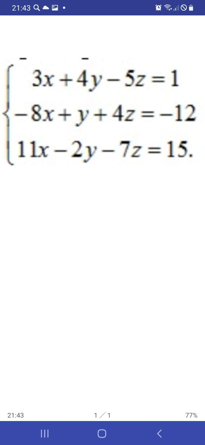
X=2, y=0, z=1 (Решение во вложении) решила первую систему
Приложения:


Вас заинтересует
2 года назад
2 года назад
3 года назад
3 года назад
8 лет назад
8 лет назад