Помогите срочно фото
Приложения:

danya2231:
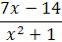
При яких значеннях змінної алгебратичний дріб буде 0
Ответы
Ответ дал:
1
Ответ:
Объяснение:
недопустимых значений нет
Вас заинтересует
2 года назад
2 года назад
3 года назад
3 года назад
8 лет назад
9 лет назад