• Предмет: Алгебра
  • Автор: zaripovzaur134
  • Вопрос задан 7 лет назад

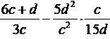
Помогите срочно алгебра

Приложения:

Ответы

Ответ дал: m11m
1

Ответ:

Объяснение:

!!!!!!!!!!!!!!!!!!!!!!

Приложения:
Ответ дал: Аноним
0

Ответ на фотографии.

Приложения:
Вас заинтересует