Ответы
Ответ дал:
0
Ответ:
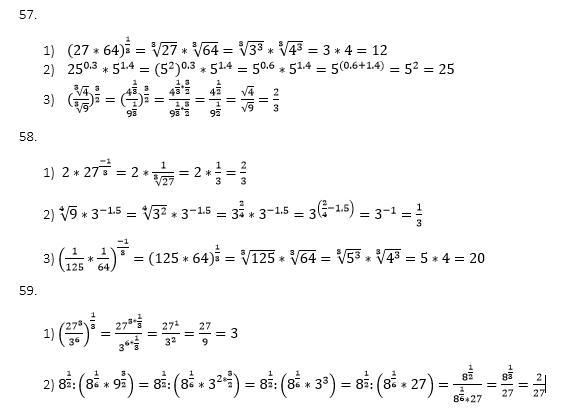
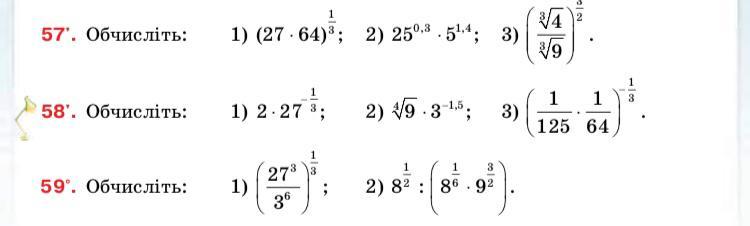
57
1) 12
2) 25
3) 2/3
58
1) 2/3
2) 1/3
3) 20
59
1) 9
2) 2/27
Пошаговое объяснение:
Приложения:

Вас заинтересует
2 года назад
3 года назад
3 года назад
8 лет назад
9 лет назад