• Предмет: Алгебра
  • Автор: opervanchuk2
  • Вопрос задан 8 лет назад

помогите пожалуйста ​

Приложения:

Ответы

Ответ дал: larisaserova53
0

Ответ:

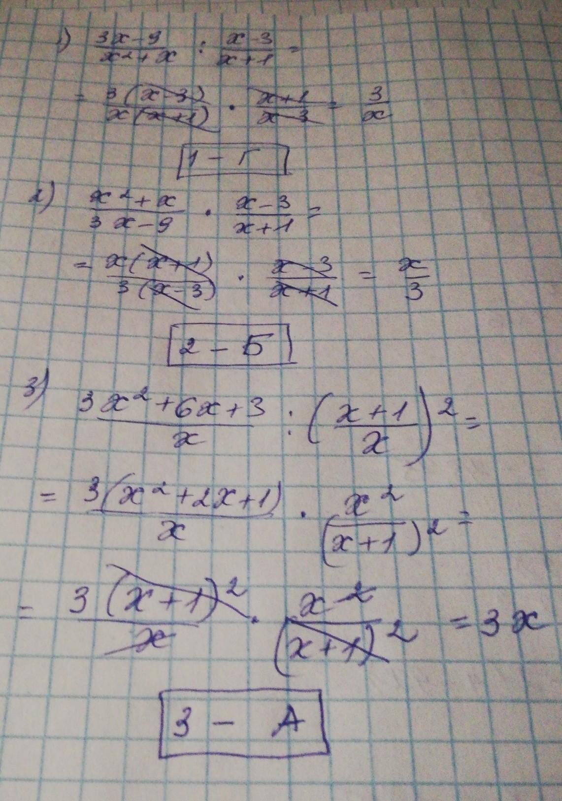
Смотри решение на фото..

Приложения:
Ответ дал: alesyaperova
0

Ответ:

1.г

2.б

3.а

Объяснение:

...............

Вас заинтересует