• Предмет: Математика
  • Автор: zharasovaadema
  • Вопрос задан 8 лет назад

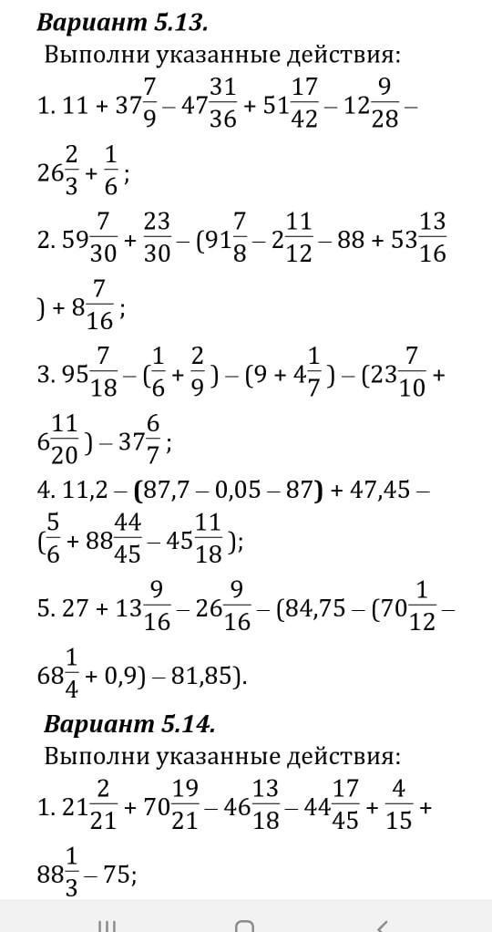
Помогите,пж,математика 5 класс

Приложения:

Ответы

Ответ дал: hamaza122018
0

Пошаговое объяснение:

Советую тебе скачать photomath. Приложение бомба

Ответ дал: ogorroma
0

Відповідь:

мало балов

Покрокове пояснення:

Вас заинтересует