• Предмет: Алгебра
  • Автор: FuLL1t
  • Вопрос задан 7 лет назад

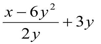
Найдите значение выражения при

Приложения:

Ответы

Ответ дал: Figop
1

Ответ:

Объяснение:

\frac{(-8)-6*(0,1)^{2} }{2*0,1} + 3*0,1=\frac{(-8-0,06)}{0,2} +0,3=\frac{-8,06}{0,2}+0,3=(-40,3)+0,3=-40

Вас заинтересует