Ответы
Ответ дал:
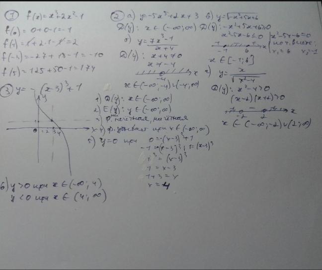
1
Ответ:
2 задание
3 задание не знаю точно или нет!
Объяснение:
Приложения:


anuarmansur:
поможешь с 3?
Вас заинтересует
2 года назад
3 года назад
3 года назад
8 лет назад
9 лет назад