• Предмет: Химия
  • Автор: berinchikmisha
  • Вопрос задан 7 лет назад

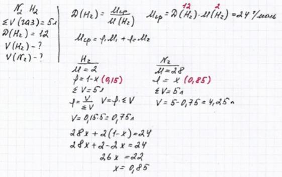
5 л смеси азота и водорода имеют относительную плотность по водороду 12. Определить объем каждого газа в смеси.
Пожалуйста быстрее

Ответы

Ответ дал: beta94111
1

Ответ:

Ниже решение

Объяснение:

Приложения:
Вас заинтересует