• Предмет: Математика
  • Автор: ula122123
  • Вопрос задан 8 лет назад

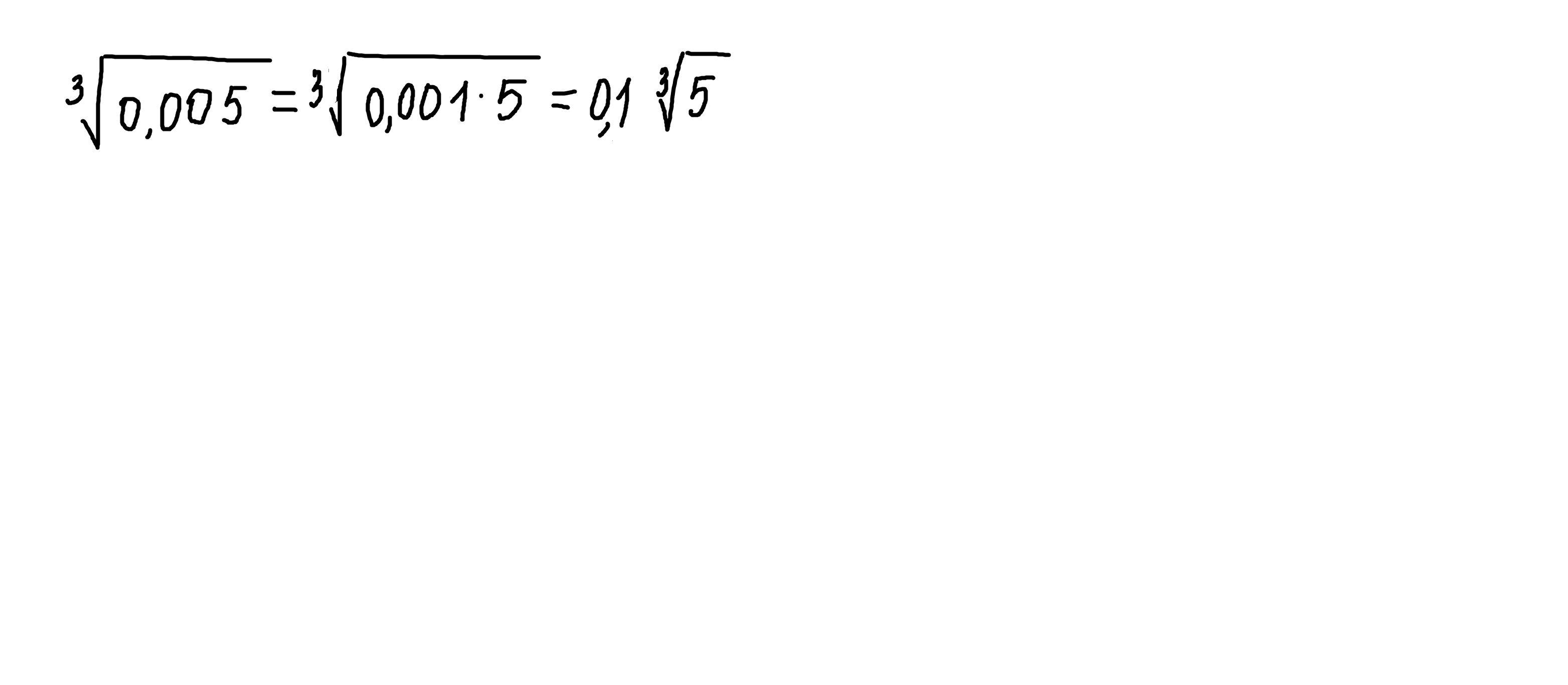
Винеси множник із-під знака кореня 0,005

Приложения:

Ответы

Ответ дал: parus77
1

Ответ:

0,1∛5

Пошаговое объяснение:

Приложения:
Вас заинтересует