• Предмет: Алгебра
  • Автор: matika123
  • Вопрос задан 10 лет назад

Как решать такие уравнения, объясните пожалуйста. 

Приложения:

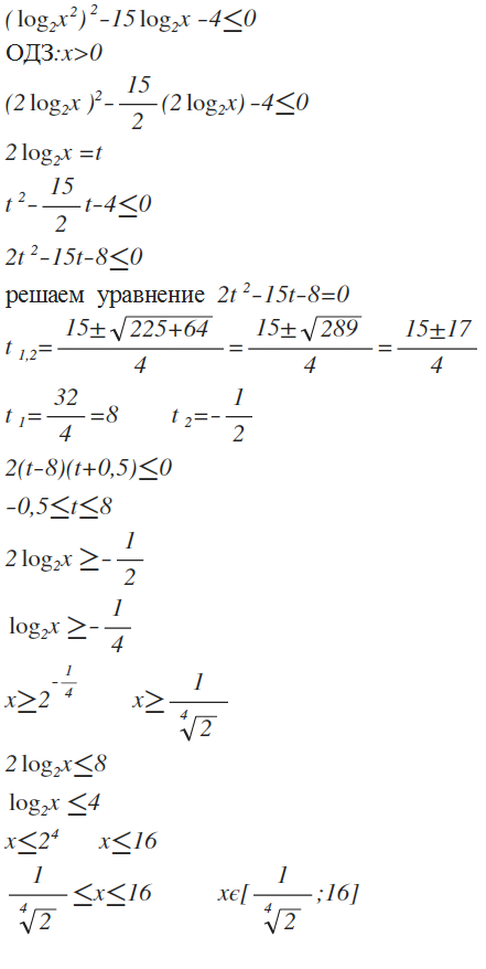
Ответы

Ответ дал: Аноним
0
см.вложение...................................................................
Приложения:
Ответ дал: matika123
0
Спасибо большое :)
Вас заинтересует