• Предмет: Математика
  • Автор: bebraberikovka
  • Вопрос задан 7 лет назад

ПОМОГИТЕ ПДАДАДАДП СМЕК МАЙ ЭСССИСТАЛАЛ​

Приложения:

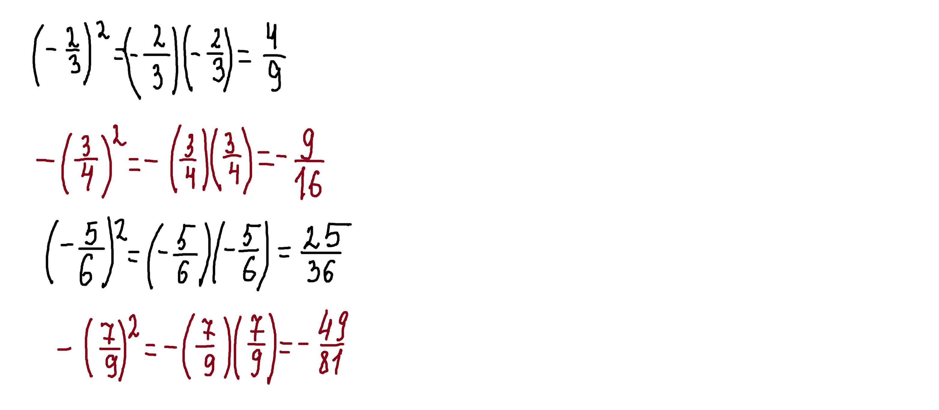
Ответы

Ответ дал: parus77
1

Ответ:

Пошаговое объяснение:

решение внизу

Приложения:

bebraberikovka: тоже спасибо
bebraberikovka: !!
Вас заинтересует