• Предмет: Алгебра
  • Автор: sashaslobudiuniyk
  • Вопрос задан 8 лет назад

помогите пожалуйста!!) ​

Приложения:

Ответы

Ответ дал: parus77
0

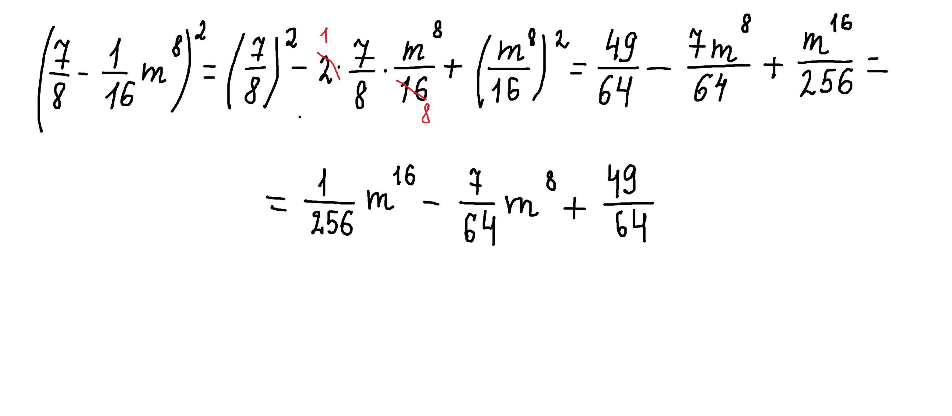
Ответ:

решение внизу

Объяснение:

Приложения:
Вас заинтересует