• Предмет: Алгебра
  • Автор: krupovadasa15
  • Вопрос задан 7 лет назад

Представьте в виде степени выражения :
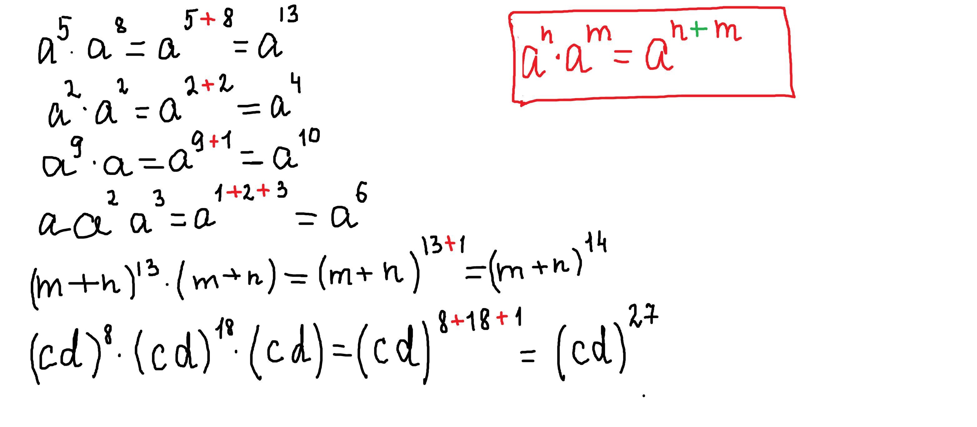
 {a}^{5}  {a}^{8}
 {a}^{2}  {a}^{2}
 {a}^{9} a
 {aa}^{2}  {a}^{3}
(m + n {)}^{13}  \times (m + n)
(cd {)}^{8}  \times (cd {)}^{18}  \times (cd)

Ответы

Ответ дал: parus77
0

Ответ:

Объяснение:

решение внизу

Приложения:
Вас заинтересует