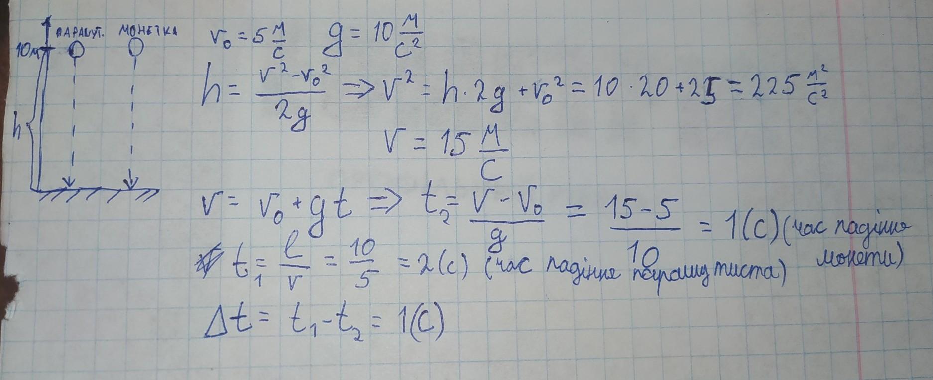
Парашутист опускається рівномірно зі швидкістю 5 м/с. На відстані 10 м від поверхні Землі в ньогоз кишені випала монета. На скільки секунд пізніше приземлиться парашутист, ніж монета? Вплив опору повітря на монету не враховуйте. Уважайте, що прискорення вільного падіння дорівнюе 10 м/c?.
Ответы
Ответ дал:
0
Відповідь: на 1 секунду
Приложения:

Вас заинтересует
2 года назад
2 года назад
3 года назад
3 года назад
8 лет назад
9 лет назад