Помогите пожалуйста срочно алгебра ірраціональні рівняння. Нужно подробно расписать
Приложения:

Ответы
Ответ дал:
1
Ответ:
8
Объяснение:
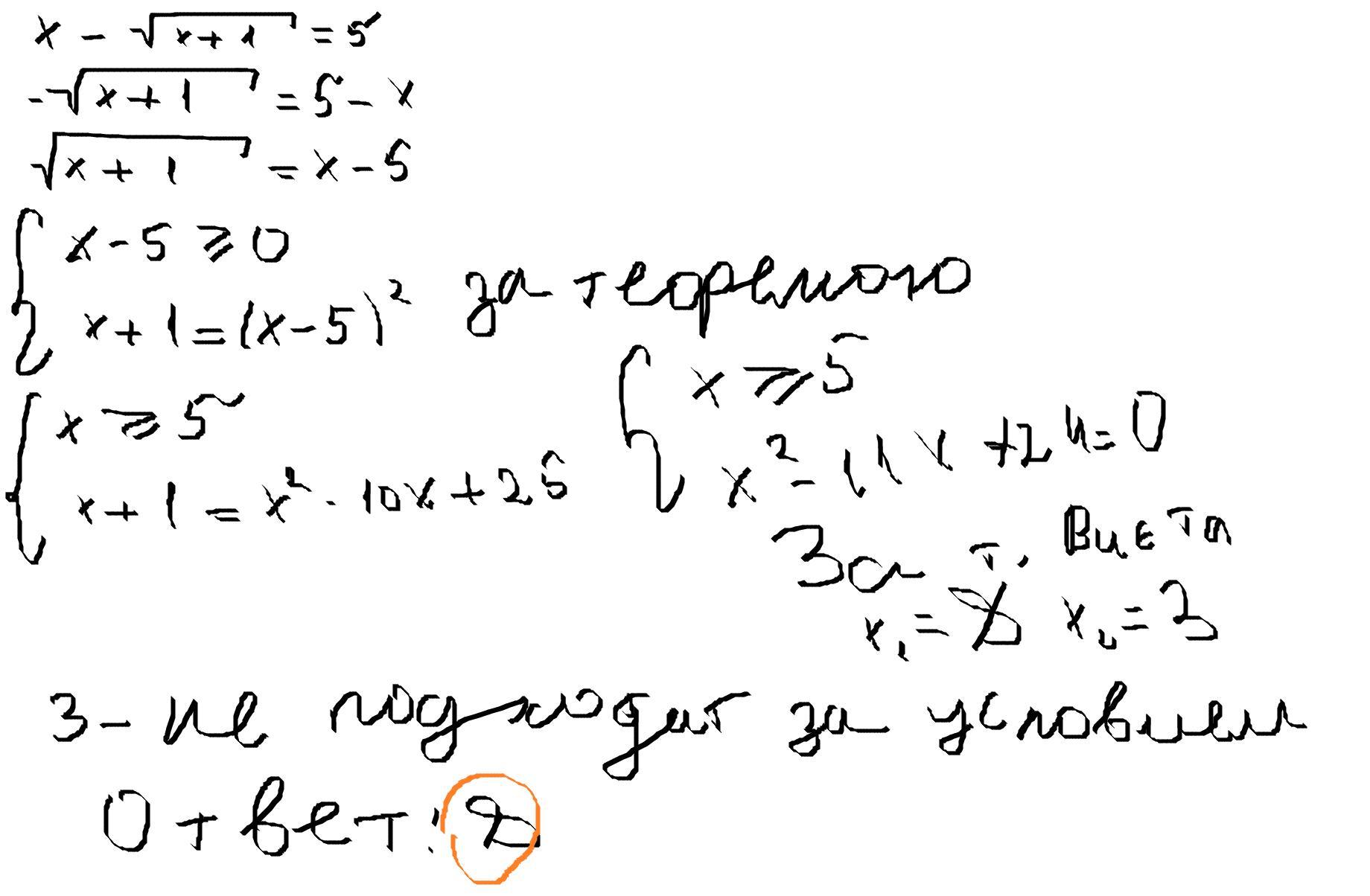
В фото все
Приложения:

Вас заинтересует
2 года назад
2 года назад
3 года назад
3 года назад
8 лет назад
9 лет назад