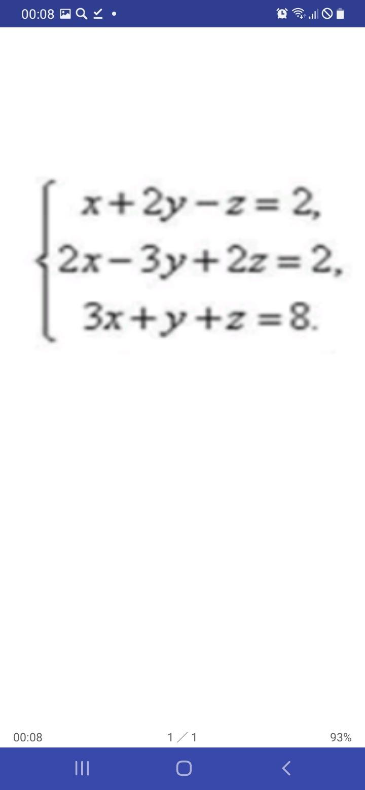
Методом крамера.
помогите пожалуйста;(;(
Приложения:



Аноним:
а сама пробывала решать? Там нечего делать. Считаешь общий определитель, потом определитель по x, y и z. А потом просто делишь дельта х на общий определитель. Получаешь значение х и так далее. Или там матрица вырожденая? Если определьтель по x или у или z = 0, то тогда одно из 3 уравнений есть следствием двух других.
Ответы
Ответ дал:
1
Решение приведено во вложении.
Находить определители матриц удобнее методом Саррюса.
Вот пример главного определителя задания 1.
1 2 -1| 1 2
2 -3 2| 2 -3
3 1 1| 3 1 = -3 + 12 - 2 - 4 - 2- 9 = -8.
Приложения:
Вас заинтересует
2 года назад
2 года назад
3 года назад
3 года назад
8 лет назад
9 лет назад