Ответы
Ответ дал:
8
Ответ:
На фото
Объяснение:
Приложения:

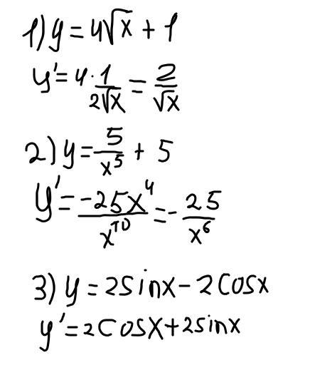
1)y = 4 \sqrt{x} + 11)y=4
x
+1
2)y = \frac{5}{ {x}^{5} } + 52)y=
x
5
5
+5
3)y = 2 \sin(x) - 2 \cos(x)3)y=2sin(x)−2cos(x)
Ответ дал:
6
Ответ:
Объяснение:
Вас заинтересует
2 года назад
8 лет назад
9 лет назад