• Предмет: Алгебра
  • Автор: vik5108
  • Вопрос задан 7 лет назад

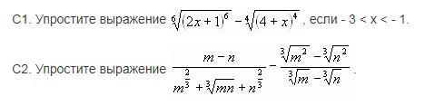
Помогите решить,пожалуйста. Нужно полностью всё решение, а не только ответ.

Приложения:

Ответы

Ответ дал: Universalka
3

\displaystyle\bf\\1)\\\\\sqrt[6]{(2x+1)^{6} } -\sqrt[4]{(4+x)^{4} }=|2x+1|-|4+x|= -(2x+1)-(4+x)=\\\\\\=-2x-1-4-x=-3x-5\\\\\\2)\\\\\frac{m-n}{m^{\frac{2}{3} } +\sqrt[3]{mn} +n^{\frac{2}{3} } } -\frac{\sqrt[3]{m^{2} } -\sqrt[3]{n^{2} } }{\sqrt[3]{m} -\sqrt[3]{n} } =\\\\\\=\frac{(\sqrt[3]{m} -\sqrt[3]{n} )(\sqrt[3]{m^{2} } +\sqrt[3]{mn} +\sqrt[3]{n^{2} } )}{\sqrt[3]{m^{2} } +\sqrt[3]{mn} +\sqrt[3]{n^{2} } }-\frac{(\sqrt[3]{m }-\sqrt[3]{n } )(\sqrt[3]{m} +\sqrt[3]{n})}{\sqrt[3]{m} -\sqrt[3]{n} } =

\displaystyle\bf\\=\sqrt[3]{m} -\sqrt[3]{n} -\sqrt[3]{m}-\sqrt[3]{n} =-2\sqrt[3]{n}


tamarabernukho: 1)
Вас заинтересует