• Предмет: Математика
  • Автор: shyralibenko
  • Вопрос задан 8 лет назад

Помогите решить. Буду очень благодарен!

Приложения:

Ответы

Ответ дал: Matematiktm
1

Ответ:

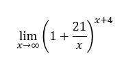
Ответ e^{21}

Пошаговое объяснение:

\lim_{n \to \infty} (1+\frac{21}{x} )^{x+4} = \lim_{n \to \infty} (1+\frac{21}{x} )^{x} * \lim_{n \to \infty} (1+\frac{21}{x} )^{4} = \lim_{n \to \infty} (1+\frac{21}{x} )^{\frac{x}{21} *21}=e^{21}  \\ \lim_{n \to \infty} (1+\frac{21}{x} )^{4} =1

Ответ

e^{21}

Вас заинтересует