• Предмет: Алгебра
  • Автор: rockmagpopov
  • Вопрос задан 8 лет назад

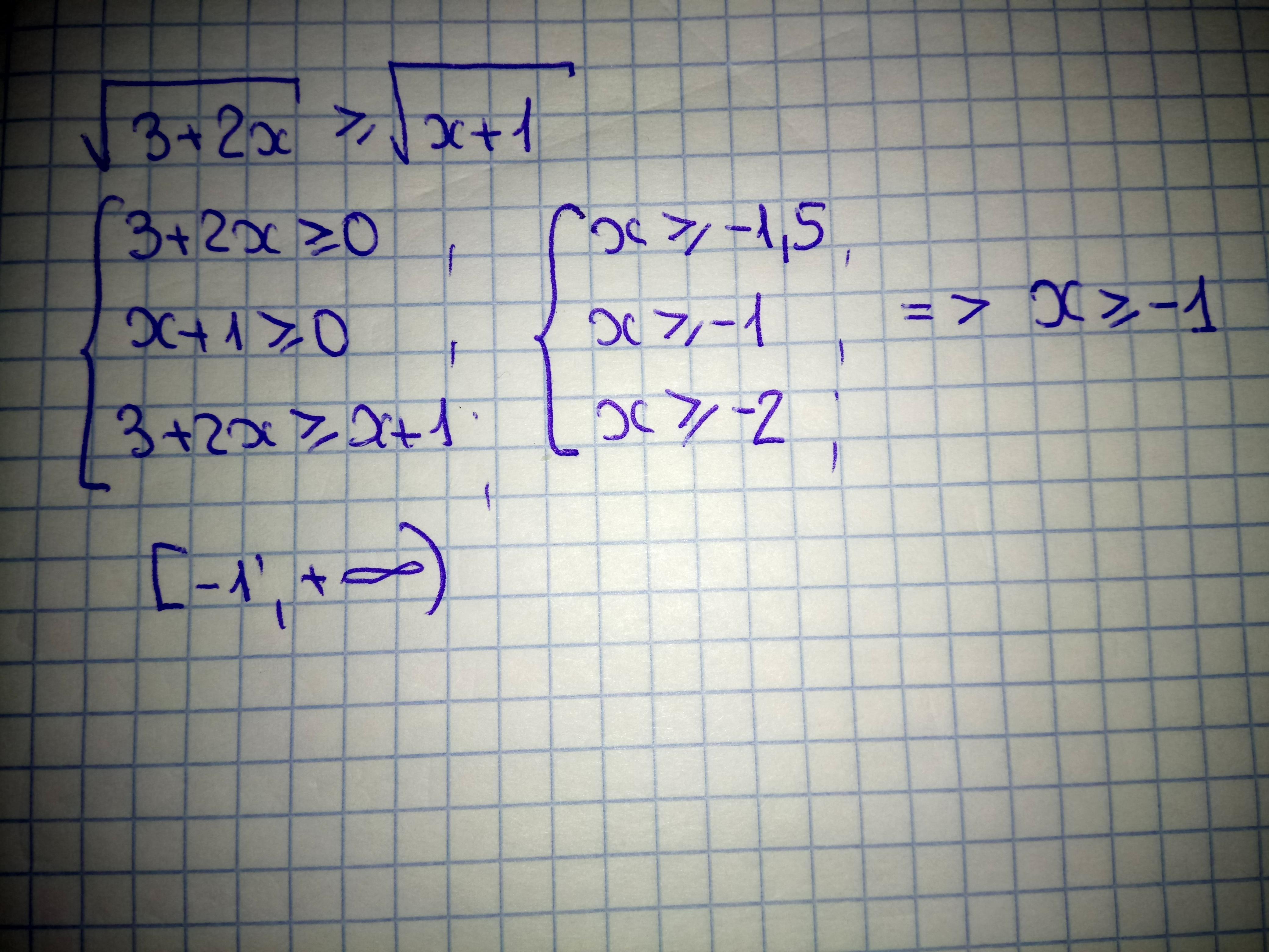
√(3+2x)≥√(x+1) помогите пожалуйста

Ответы

Ответ дал: BorschAndSalo
0

Ответ:

√(3+2x)≥√(x+1) | ^2                            ОДЗ:  3+2x≥0            x+1≥0

 3+2x≥ x+1                                                     x≥-1,5               x≥-1

x≥-2                                                                

 С ОДЗ x ≥-1                                                                

Ответ дал: Аноним
0

Решение задания прилагаю

Приложения:
Вас заинтересует