• Предмет: Алгебра
  • Автор: krisosipova2357
  • Вопрос задан 7 лет назад

Здравствуйте, помогите пожалуйста. Найди дискриминант квадратного уравнения:

Приложения:

Ответы

Ответ дал: Аноним
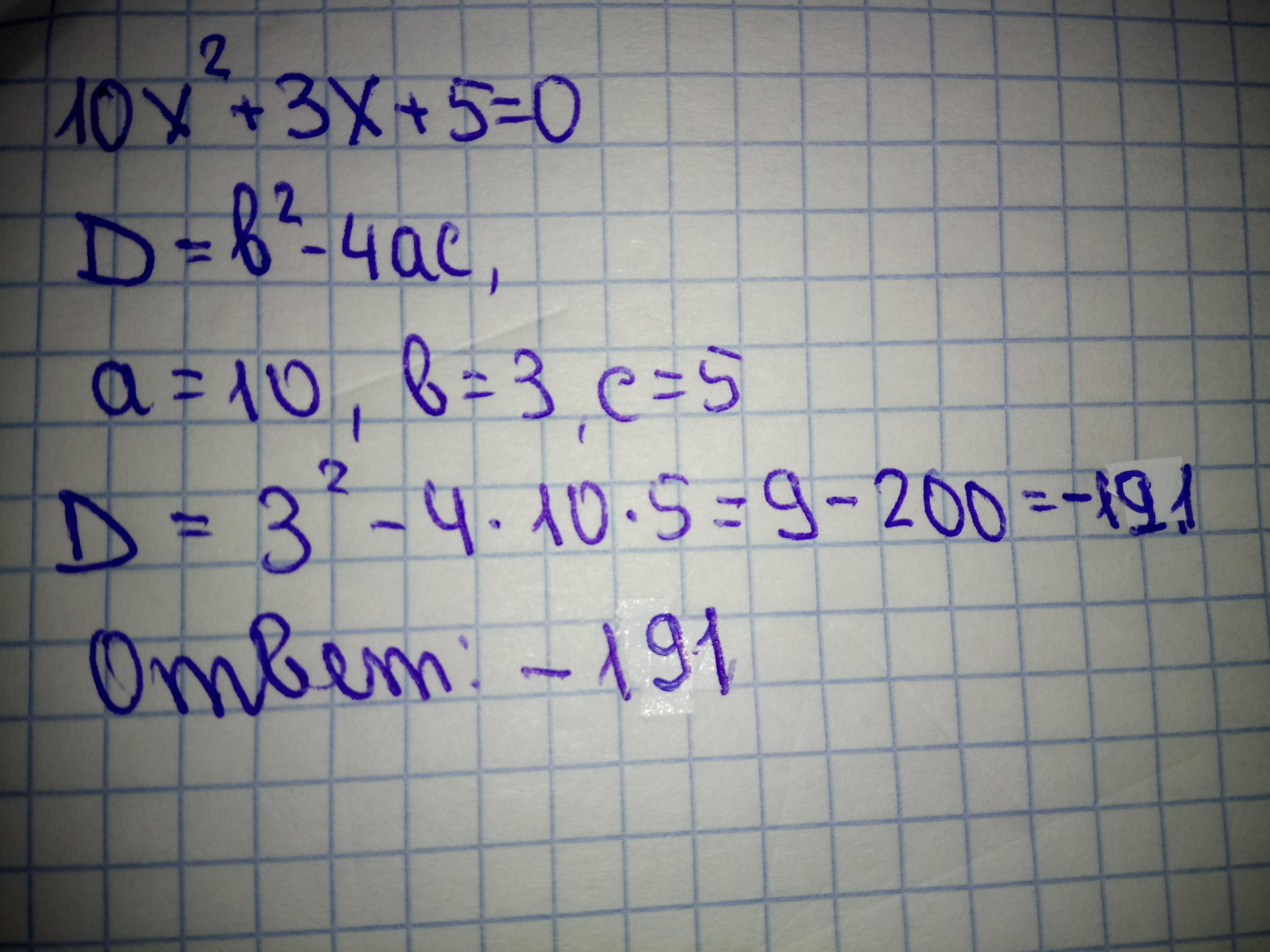
2

Відповідь: - 191

Пояснення: фото

Приложения:

nargizmamedli100: не правильно х1 х2 где гений
Аноним: Не правильно ЧТО?
Аноним: Дискриминант?
krisosipova2357: Ответ правильный. Спасибо большое.
Аноним: Конечно, правильный. Товарищ не дочитал условие, что корни находить не требуется.
krisosipova2357: Вот из-за него 5 звёзд не поставить.
Вас заинтересует