Ответы
Ответ дал:
1
Пошаговое объяснение:
Вот ответ
Надеюсь помогла
Приложения:

Ответ дал:
1
Ответ:
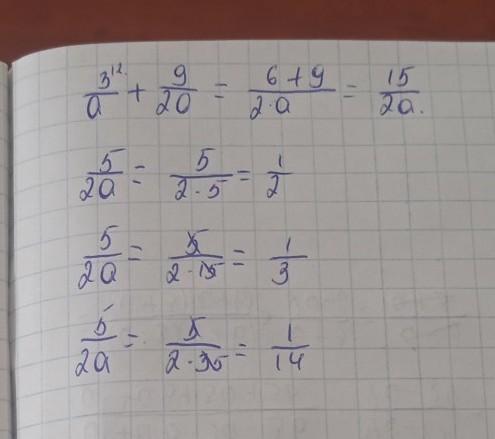
3/а (доп. множитель 2)+9/2а (доп. множитель 1) = 6/2а+9/2а=15/2а
Просто складываем две дроби, приводя к общему знаменателю 2а.
15/2*15=15/30=1/2=0,5
15/2*5=15/10=1 целая 5/10= 1 целая 1/2= 1,5
15/2*35=15/70=3/14
Вас заинтересует
2 года назад
2 года назад
3 года назад
3 года назад
8 лет назад
9 лет назад
9 лет назад