• Предмет: Алгебра
  • Автор: Pekejdhshshd
  • Вопрос задан 7 лет назад

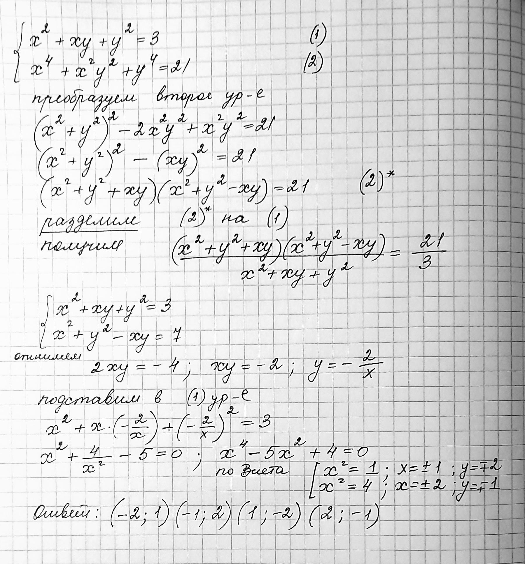
прошу помогите :( РЕШАТЬ ТОЛЬКО МЕТОДОМ УМНОЖЕНИЯ ИЛИ ДЕЛЕНИЯ!(так в задании надо)

Приложения:

Ответы

Ответ дал: ВладимирБ
5

Ответ:

Объяснение:

Решение на фото

Приложения:
Вас заинтересует