• Предмет: Математика
  • Автор: OleG34231
  • Вопрос задан 8 лет назад

НАЙТИ ПРОИЗВОДНУЮ СРОЧНО

Приложения:

Ответы

Ответ дал: bearcab
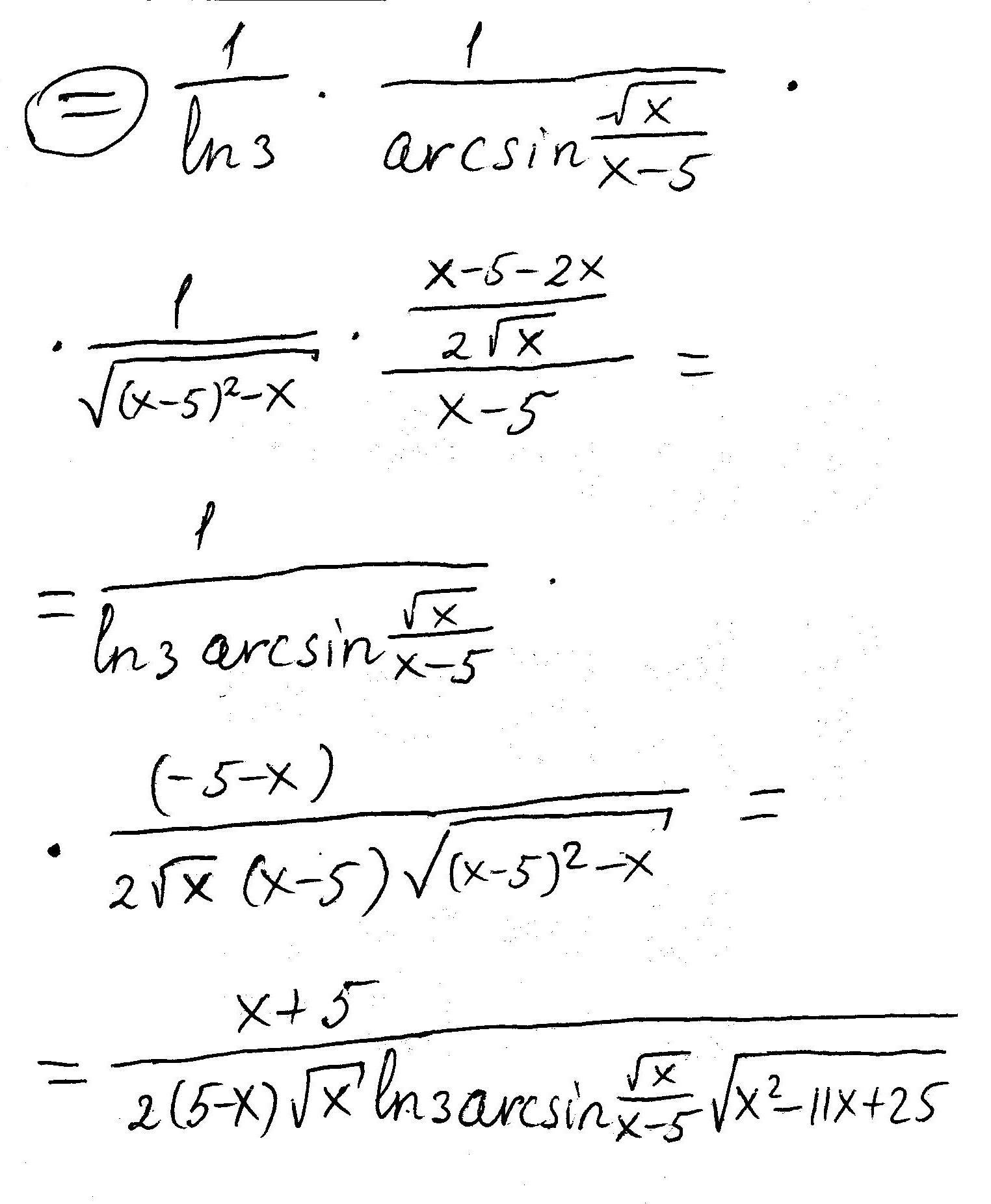
1

Ответ:

1) \,y'=\frac{15x^2-1}{5x^3-x}

2)\,y'=\frac{x+5}{2\ln3\sqrt{x}(5-x)\arcsin\frac{\sqrt{x}}{x-5}\sqrt{x^2-11x+25} }

Пошаговое объяснение:

Приложения:
Вас заинтересует