• Предмет: Математика
  • Автор: fghnxd8
  • Вопрос задан 8 лет назад

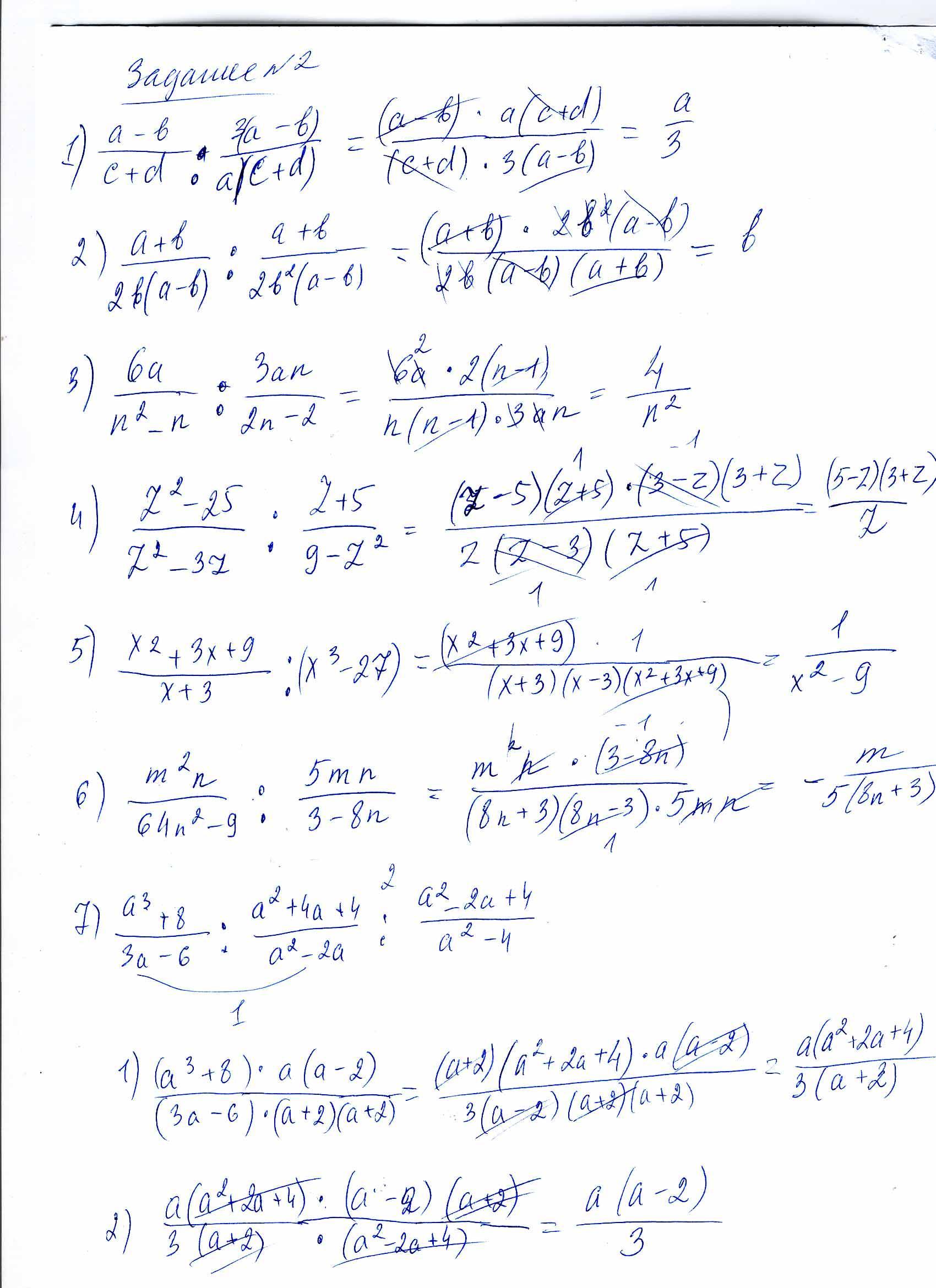
Помните решить ,прошу❤️

Приложения:

55555555552187: какой уровень надо решать
fghnxd8: Все(
55555555552187: сколько времени на решение осталось?
fghnxd8: Часа 2

Ответы

Ответ дал: 55555555552187
1

Ответ:

смотри на фото

Пошаговое объяснение:

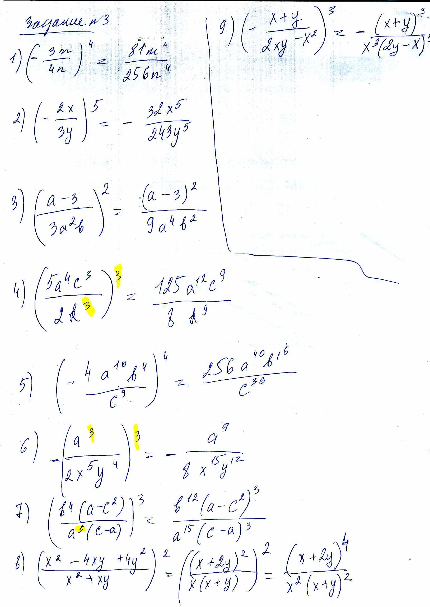
обрати внимание на файл (с номером 5) с 3 заданием : плохо видно коэффициенты, которые я выделила желтым цветом, если совпадают с условием, то решение верное, если не совпадают, тогда решай сам по аналогии

Приложения:

55555555552187: жду поощрений в благодарность за такую огромную работу
Вас заинтересует