Ответы
Ответ дал:
0
Ответ:
будет вот так
Объяснение:
100% правильно
Приложения:

Ответ дал:
0
Ответы:
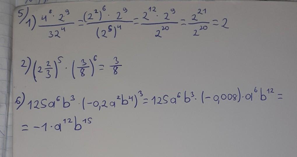
5. 1)
2)
6.
Вас заинтересует
2 года назад
3 года назад
3 года назад
8 лет назад
9 лет назад