• Предмет: Алгебра
  • Автор: lmmaria
  • Вопрос задан 7 лет назад

нужно решение полное​

Приложения:

Ответы

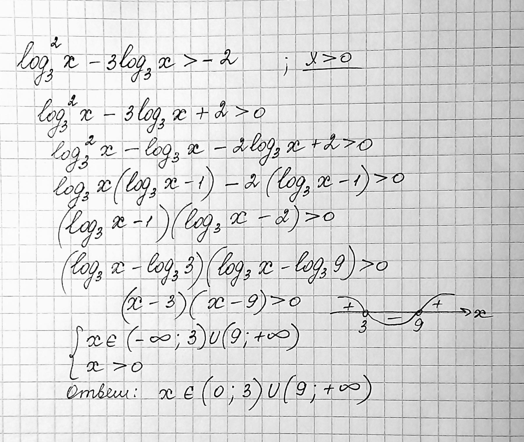
Ответ дал: MizoriesKun
1

Смотри....................................

Приложения:

lmmaria: у меня в тесте почему то нету такого ответа
MizoriesKun: Ок, минутку, проверю
lmmaria: в ответе почему то должно получиться так - (0; 2)∪(4; +∞)
MizoriesKun: Это было бы если бы основание логарифмы было 2, а у нас основание 3, так что успокойся решение верное
lmmaria: спасибо
MizoriesKun: А учителю скажи о том, что в тесте опечатка
lmmaria: хорошо, спасибо
Ответ дал: ВладимирБ
2

Ответ:

Объяснение:

Решение на фото

Приложения:

ksalka: Какой идеальный почерк!
Вас заинтересует